Covid19: 27.490 νέα κρούσματα στη χώρα (γεωγραφική κατανομή) – 73 ακόμη θάνατοι

Τα νέα εργαστηριακά επιβεβαιωμένα κρούσματα της νόσου που καταγράφηκαν τις τελευταίες 24 ώρες ανακοίνωσε ο ΕΟΔΥ. Σύμφωνα με την ενημέρωση τα κρούσματα είναι 27.490, εκ των οποίων 14 εντοπίστηκαν κατόπιν ελέγχων στις πύλες εισόδου της χώρας. Ο συνολικός αριθμός των κρουσμάτων ανέρχεται σε 2.957.810, εκ των οποίων 49.2% άνδρες.

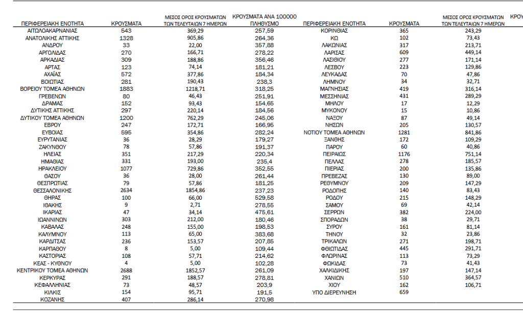
Στην Αργολίδα εντοπίστηκαν 270 νέα κρούσματα, στην Αρκαδία 309, στην Κορινθία 365, στη Λακωνία 317 και στη Μεσσηνία 431

Ο αριθμός των θανάτων ανήλθε σε 73. Ο αριθμός των διασωληνωμένων έφτασε τους 342. Οι νέοι θάνατοι ασθενών με COVID-19 είναι 73, ενώ από την έναρξη της επιδημίας έχουν καταγραφεί συνολικά 27.341 θάνατοι. Το 95.3% είχε υποκείμενο νόσημα ή/και ηλικία 70 ετών και άνω.

Ο αριθμός των ασθενών που νοσηλεύονται διασωληνωμένοι είναι 342 (65.2% άνδρες). Η διάμεση ηλικία τους είναι 70 έτη. To 90.9% έχει υποκείμενο νόσημα ή/και ηλικία 70 ετών και άνω. Μεταξύ των ασθενών που νοσηλεύονται διασωληνωμένοι, 201 (58.77%) είναι ανεμβολίαστοι ή μερικώς εμβολιασμένοι και 141 (41.23%) είναι πλήρως εμβολιασμένοι. Από την αρχή της πανδημίας έχουν εξέλθει από τις ΜΕΘ 4.431 ασθενείς.

Οι εισαγωγές νέων ασθενών Covid-19 στα νοσοκομεία της επικράτειας είναι 441 (ημερήσια μεταβολή +27.83%). Ο μέσος όρος εισαγωγών του επταημέρου είναι 402 ασθενείς.Η διάμεση ηλικία των κρουσμάτων είναι 36 έτη (εύρος 0.2 έως 112 έτη), ενώ η διάμεση ηλικία των θανόντων είναι 79 έτη (εύρος 0.2 έως 106 έτη).

Αφήστε μια απάντηση

Η ηλ. διεύθυνση σας δεν δημοσιεύεται. Τα υποχρεωτικά πεδία σημειώνονται με *