Ο ΕΟΔΥ ανακοίνωσε ότι τα νέα εργαστηριακά επιβεβαιωμένα κρούσματα κορωνοϊού που καταγράφηκαν τις τελευταίες 24 ώρες είναι 17.960, εκ των οποίων 66 εντοπίστηκαν κατόπιν ελέγχων στις πύλες εισόδου της χώρας.
Ο συνολικός αριθμός των κρουσμάτων ανέρχεται σε 1.848.223 (ημερήσια μεταβολή +1.0%), εκ των οποίων 49.8% άνδρες. Με βάση τα επιβεβαιωμένα κρούσματα των τελευταίων 7 ημερών, 381 θεωρούνται σχετιζόμενα με ταξίδι από το εξωτερικό και 1.372 είναι σχετιζόμενα με ήδη γνωστό κρούσμα.
To 𝑅𝑡 για την επικράτεια βάσει των κρουσμάτων εκτιμάται σε 0.95 (95% ΔΕ: 0.86 – 1.05)
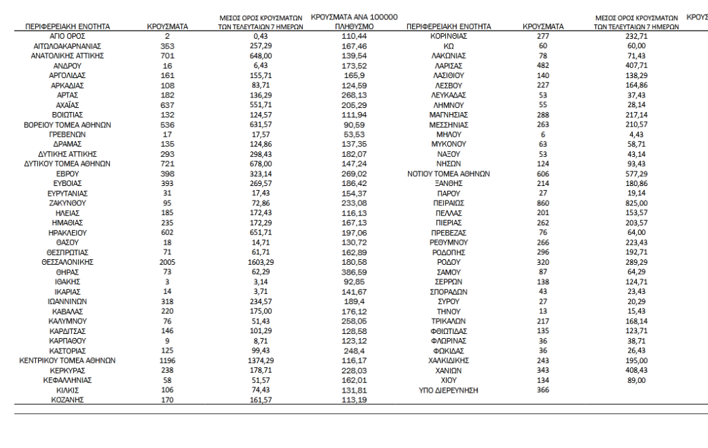
Στην Αργολίδα εντοπίστηκαν 161 νέα κρούσματα, στην Αρκαδία 108, στην Κορινθία 277, στη Λακωνία 78 και στη Μεσσηνία 263

Οι νέοι θάνατοι ασθενών με COVID-19 είναι 115, ενώ από την έναρξη της επιδημίας έχουν καταγραφεί συνολικά 22.970 θάνατοι. Το 95.0% είχε υποκείμενο νόσημα ή/και ηλικία 70 ετών και άνω.
Ο αριθμός των ασθενών που νοσηλεύονται διασωληνωμένοι είναι 646 (60.2% άνδρες). Η διάμεση ηλικία τους είναι 66 έτη. To 82.7% έχει υποκείμενο νόσημα ή/και ηλικία 70 ετών και άνω. Μεταξύ των ασθενών που νοσηλεύονται διασωληνωμένοι, 518 (80.19%) είναι ανεμβολίαστοι ή μερικώς εμβολιασμένοι και 128 (19.81%) είναι πλήρως εμβολιασμένοι. Από την αρχή της πανδημίας έχουν εξέλθει από τις ΜΕΘ 3.993 ασθενείς.
Οι εισαγωγές νέων ασθενών Covid-19 στα νοσοκομεία της επικράτειας είναι 395 (ημερήσια μεταβολή -8.56%). Ο μέσος όρος εισαγωγών του επταημέρου είναι 462 ασθενείς.Η διάμεση ηλικία των κρουσμάτων είναι 35 έτη (εύρος 0.2 έως 106 έτη), ενώ η διάμεση ηλικία των θανόντων είναι 78 έτη (εύρος 0.2 έως 106 έτη)

