Ο ΕΟΔΥ ανακοίνωσε ότι τα νέα εργαστηριακά επιβεβαιωμένα κρούσματα κορωνοϊού που καταγράφηκαν τις τελευταίες 24 ώρες είναι 2.046, εκ των οποίων 8 εντοπίστηκαν κατόπιν ελέγχων στις πύλες εισόδου της χώρας. Ο συνολικός αριθμός των κρουσμάτων ανέρχεται σε 643.055 (ημερήσια μεταβολή +0.3%), εκ των οποίων 50.9% άνδρες.
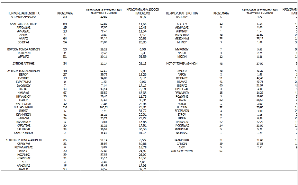
Στην Αργολίδα εντοπίστηκαν 15 νέα κρούσματα, στην Αρκαδία 10, στην Κορινθία 24, στη Λακωνία 16 και στη Μεσσηνία 23

Με βάση τα επιβεβαιωμένα κρούσματα των τελευταίων 7 ημερών, 128 θεωρούνται σχετιζόμενα με ταξίδι από το εξωτερικό και 3.487 είναι σχετιζόμενα με ήδη γνωστό κρούσμα.
Οι νέοι θάνατοι ασθενών με COVID-19 είναι 33, ενώ από την έναρξη της επιδημίας έχουν καταγραφεί συνολικά 14.639 θάνατοι. Το 95.4% είχε υποκείμενο νόσημα ή/και ηλικία 70 ετών και άνω.
Ο αριθμός των ασθενών που νοσηλεύονται διασωληνωμένοι είναι 331 (65.0% άνδρες). Η διάμεση ηλικία τους είναι 65 έτη. To 81.0% έχει υποκείμενο νόσημα ή/και ηλικία 70 ετών και άνω. Μεταξύ των ασθενών που νοσηλεύονται διασωληνωμένοι, 298 (90.03%) είναι ανεμβολίαστοι ή μερικώς εμβολιασμένοι και 33 (9.97%) είναι πλήρως εμβολιασμένοι. Από την αρχή της πανδημίας έχουν εξέλθει από τις ΜΕΘ 3.122 ασθενείς.
Οι εισαγωγές νέων ασθενών Covid-19 στα νοσοκομεία της επικράτειας είναι 216 (ημερήσια μεταβολή +33.33%). Ο μέσος όρος εισαγωγών του επταημέρου είναι 190 ασθενείς.Η διάμεση ηλικία των κρουσμάτων είναι 39 έτη (εύρος 0.2 έως 106 έτη), ενώ η διάμεση ηλικία των θανόντων είναι 78 έτη (εύρος 0.2 έως 106 έτη).

