Ο ΕΟΔΥ ανακοίνωσε ότι τα νέα εργαστηριακά επιβεβαιωμένα κρούσματα κορωνοϊού που καταγράφηκαν τις τελευταίες 24 ώρες είναι 1.582 , εκ των οποίων 15 εντοπίστηκαν κατόπιν ελέγχων στις πύλες εισόδου της χώρας. Ο συνολικός αριθμός των κρουσμάτων ανέρχεται σε 581.315 (ημερήσια μεταβολή +0.3%), εκ των οποίων 51.1% άνδρες.
Με βάση τα επιβεβαιωμένα κρούσματα των τελευταίων 7 ημερών, 218 θεωρούνται σχετιζόμενα με ταξίδι από το εξωτερικό και 1.643 είναι σχετιζόμενα με ήδη γνωστό κρούσμα.
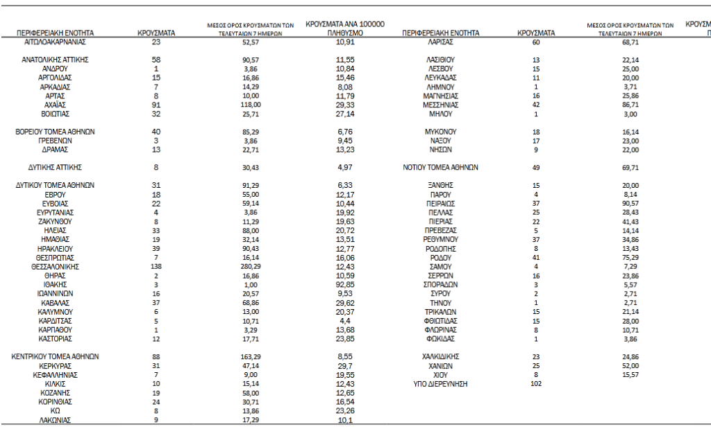
Στην Αργολίδα εντοπίστηκαν 15 νέα κρούσματα, στην Αρκαδία 7, στην Κορινθία 24, στη Λακωνία 9 και στη Μεσσηνία 42

Οι νέοι θάνατοι ασθενών με COVID-19 είναι 37, ενώ από την έναρξη της επιδημίας έχουν καταγραφεί συνολικά 13.636 θάνατοι. Το 95.3% είχε υποκείμενο νόσημα ή/και ηλικία 70 ετών και άνω.
Ο αριθμός των ασθενών που νοσηλεύονται διασωληνωμένοι είναι 334 (58.7% άνδρες). Η διάμεση ηλικία τους είναι 64 έτη. To 83.5% έχει υποκείμενο νόσημα ή/και ηλικία 70 ετών και άνω. Από την αρχή της πανδημίας έχουν εξέλθει από τις ΜΕΘ 2.962 ασθενείς.
Οι εισαγωγές νέων ασθενών Covid-19 στα νοσοκομεία της επικράτειας είναι 282 (ημερήσια μεταβολή +1.08%). Ο μέσος όρος εισαγωγών του επταημέρου είναι 270 ασθενείς.Η διάμεση ηλικία των κρουσμάτων είναι 39 έτη (εύρος 0.2 έως 106 έτη), ενώ η διάμεση ηλικία των θανόντων είναι 78 έτη (εύρος 0.2 έως 106 έτη).

